| Дата начала: | 20.02.19 |
| Регион: | Восточный регион |
| Город: | Харьков |
| Уровень: | открытый турнир |
| Рейтинговый: | - |
| Клуб: | Клуб «Метеорит» |
Последние комментарии
к статьям
к статьям
28 May 2025, 10:09К статье: про ТЕХНИКИ для ОБУЧЕНИЯ РАБОТЕ НОГ в настольном теннисе, как улучшить перемещения и передвижения
От: Autsider
13 May 2025, 12:58К статье: про УГОЛ выброса мяча у НАКЛАДКИ, ОСНОВАНИЯ, РАКЕТКИ зависит ли угол накладки от основания
От: Autsider
27 Jan 2025, 13:53К статье: играть в АТАКУЮЩЕМ СТИЛЕ с ДЛИННЫМИ ШИПАМИ OX можно ли? Длинные шипы без губки и атака
От: Autsider
26 Jul 2024, 15:56К статье: ДОЛГОВЕЧНОСТЬ ОСНОВАНИЙ, срок службы, когда менять основание, сколько служат основания ракеток
От: Autsider
24 May 2024, 08:34К статье: что значит Big Dipper? Почему накладка YINHE так называется
От: Autsider
24 Feb 2024, 11:01К статье: КРУТИТЬ РАКЕТКУ - как научиться? Какие ручки и ОСНОВАНИЯ подходят ЛУЧШЕ чтобы ВРАЩАТЬ в руке
От: Autsider
05 Feb 2024, 11:38К статье: ЛАКИРОВАТЬ ОСНОВАНИЕ надо или нет? НУЖЕН ЛИ ЛАК ДЛЯ ОСНОВАНИЯ - что влияет, почему вопрос не простой
От: Autsider
02 Feb 2024, 13:56К статье: Dr Neubauer TORNADO SUPREME SOFT обзор КОРОТКИЕ ШИПЫ сравнение с TORNADO SUPREME чем лучше вращать
От: Autsider
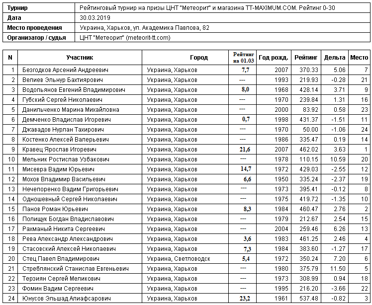
РЕЗУЛЬТАТЫ ТУРНИРОВ, ПРОВЕДЕННЫХ С 20 ФЕВРАЛЯ ПО 14 АПРЕЛЯ В ЦНТ "МЕТЕОРИТ"
18.04.19









































































































