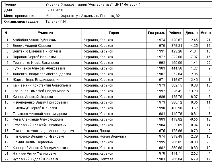
| Дата начала: | 07.11.18 | 
| Регион: | Восточный регион | 
| Город: | Харьков | 
| Уровень: | открытый турнир | 
| Рейтинговый: | - | 
| Клуб: | Клуб «Метеорит» | 
        Последнее на форуме
    
    03 Oct 2025, 13:05ССЫЛКА ПЕРЕХОДНИК на Кракен:2025: Полный список актуальных зеркал KRAKEN
                    От: PavelNovikov
                
03 Oct 2025, 13:05КРАКЕН или KRAKEN !! Все Ссылки 2025 : Список Рабочих Ссылок и Зеркал KRAKEN
                    От: PavelNovikov
                
03 Oct 2025, 13:05KRAKEN ССЫЛКА?! Все Ссылки 2025 Список Рабочих Ссылок и Зеркал Для Безопасного В
                    От: PavelNovikov
                
03 Oct 2025, 13:04КРAКЕН @!@ ССЫЛКА в 2025 | Список Рабочих Ссылок и зеркал для Безопасного Входа 
                    От: PavelNovikov
                
03 Oct 2025, 13:04КРAКEН 2025! НОВЫЕ И ПРЯМЫЕ ССЫЛКИ 2025: Список всех рабочих ссылок и зеркал для
                    От: PavelNovikov
                
03 Oct 2025, 13:04KRAKEN МАРКЕТПЛЕЙС // Все Ссылки 2025! Список Рабочих Ссылок и Зеркал Для Безопа
                    От: PavelNovikov
                
        
        В разделе Куплю-продам
новые
+5цены
+1комм.
+0
+5цены
+1комм.
+0
        Последние комментарии
к статьям
    к статьям
28 May 2025, 10:09К статье: про ТЕХНИКИ для ОБУЧЕНИЯ РАБОТЕ НОГ в настольном теннисе, как улучшить перемещения и передвижения
                От: Autsider
13 May 2025, 12:58К статье: про УГОЛ выброса мяча у НАКЛАДКИ, ОСНОВАНИЯ, РАКЕТКИ зависит ли угол накладки от основания
                От: Autsider
27 Jan 2025, 13:53К статье: играть в АТАКУЮЩЕМ СТИЛЕ с ДЛИННЫМИ ШИПАМИ OX можно ли? Длинные шипы без губки и атака
                От: Autsider
26 Jul 2024, 15:56К статье: ДОЛГОВЕЧНОСТЬ ОСНОВАНИЙ, срок службы, когда менять основание, сколько служат основания ракеток
                От: Autsider
24 May 2024, 08:34К статье: что значит Big Dipper? Почему накладка YINHE так называется
                От: Autsider
24 Feb 2024, 11:01К статье: КРУТИТЬ РАКЕТКУ - как научиться? Какие ручки и ОСНОВАНИЯ подходят ЛУЧШЕ чтобы ВРАЩАТЬ в руке
                От: Autsider
05 Feb 2024, 11:38К статье: ЛАКИРОВАТЬ ОСНОВАНИЕ надо или нет? НУЖЕН ЛИ ЛАК ДЛЯ ОСНОВАНИЯ - что влияет, почему вопрос не простой
                От: Autsider
02 Feb 2024, 13:56К статье: Dr Neubauer TORNADO SUPREME SOFT обзор КОРОТКИЕ ШИПЫ сравнение с TORNADO SUPREME чем лучше вращать
                От: Autsider
    РЕЗУЛЬТАТЫ ТУРНИРОВ, ПРОВЕДЕННЫХ 07-18 НОЯБРЯ В ЦНТ "МЕТЕОРИТ"
        19.11.18
            
    









































