| Дата начала: | 07.11.15 | 
| Регион: | Восточный регион | 
| Город: | Харьков | 
| Уровень: | открытый турнир | 
| Рейтинговый: | + | 
| Клуб: | Клуб «Метеорит» | 
Анонс / Положение
ПОЛОЖЕНИЕ
О проведении 7-8 ноября в г. Харькове открытого рейтингового турнира по настольному теннису на призы ЦНТ Метеорит и магазина TT-MAXIMUM.COM
Расписание игр в категориях, проводящихся в течение одного дня, без наложения по времени и задержек, так что можно играть последовательно в любых категориях, в каких позволяет рейтинг:
7.11.2015 (суббота) Рейтинг «0-15» в 11-00
7.11.2015 (суббота) Рейтинг «0-35» в 16-00
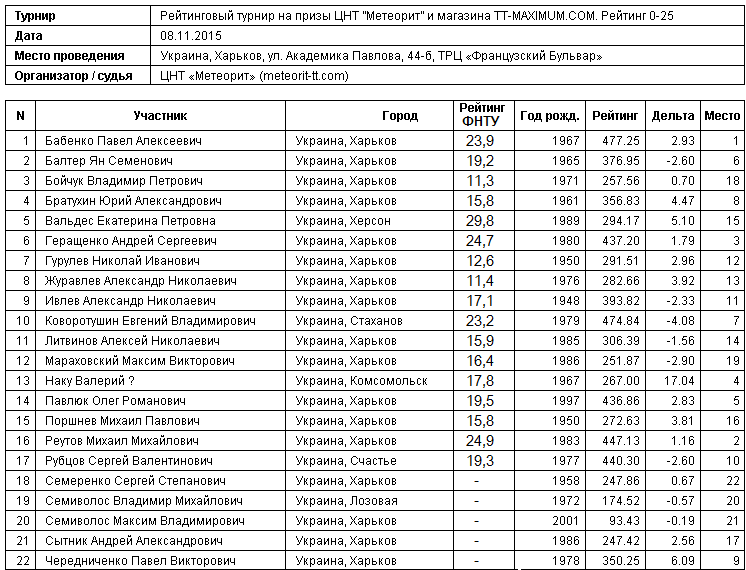
8.11.2015 (воскресенье) Рейтинг «0-25» в 11-00
8.11.2015 (воскресенье) Рейтинг «0-100» в 16-00
Взнос за участие 90 грн в одной категории, 80 грн за каждую при игре в двух, 70 грн за каждую при игре в трех и больше категориях. Для женщин, детей до 16 лет и пенсионеров старше 60 лет - взнос 65 грн в каждой категории независимо от количества категорий.
Сдача взноса означает автоматическое принятие действующих в ЦНТ Метеорит правил поведения, и обязательство полного их соблюдения, и следования решениям судей, следящих за соблюдением правил игры и правил поведения.
Адрес и контакты
Украина, г. Харьков, ул. Академика Павлова 44-б, ТРЦ «Французский Бульвар», в левой части на втором этаже, подняться по лестнице возле ледяного катка и следовать указателям в зал ЦНТ Метеорит. Смотрите раздел «как добраться» на сайте Метеорита http://meteorit-tt.com.
Телефоны Метеорита: 050 2 777 250 и 096 13 17 030, предварительные заявки на турнир можно сделать по адресу http://meteorit-tt.com/tournaments выбрав соответствующий турнир и нажав кнопку «Записаться» или по телефонам клуба или лично в зале. При оставлении заявки просьба писать полностью ФИО, а также населенный пункт для гостей Харькова.
Участники и регламент турнира
Турнир личный среди мужчин и женщин. Женщины играют общую женскую категорию (при достаточном количестве участниц) и мужские категории, при этом рейтинг женщин для допуска +15 единиц по отношению к мужскому, то есть, например, в 0-15 могут играть женщины с рейтингом до 30, а в 0-40 – до 55.
В категории «0-15» могут играть участники, чей рейтинг ФНТУ в случае наличия не превышает 15 (имеется в виду колонка РШ). Аналогично для других категорий с установленным лимитом. Посев по рейтингу ФНТУ, либо по харьковскому рейтингу, если у участника нет рейтинга ФНТУ. Харьковский рейтинг при этом будет делиться на 15 для соотнесения с рейтингом ФНТУ.
Рейтинг для определения допуска в категории и посева на турнире берется с официального сайта рейтинга украинского настольного тенниса www.reiting.com.ua , при этом изменения, внесенные в рейтинг менее чем за 3 дня – не учитываются. Допуск в категории и посев осуществляются по рейтингу, сохраненному за 3 дня до турнира (например, во вторник, если турнир начинается в субботу).
Примечание по категориям «0-40» и ниже: мастера спорта (мужчины) независимо от наличия рейтинга не могут играть в этих категориях. Женщины мастера спорта могут играть в категории «0-35» если рейтинг не превышает 50. Также судейская коллегия имеет право не допустить к участию в категории с лимитом рейтинга игрока, не имеющего в данный момент рейтинг ФНТУ, но заведомо обладающего слишком высоким уровнем для участия.
Формула проведения турнира будет определена исходя из количества участников. Планируется по возможности дать нагрузку в количестве около 8-9 игр в каждой категории.
Инвентарь. Накладки типа «стеклошипы» (Super Block и тп) к применению на рейтинговом турнире не допускаются. В случае возникновения любых спорных ситуаций – обращаться к главному судье.
Награждение (стандартная схема, где указаны все категории, которые бывают)
В качестве призов победители категорий «0-50» и ниже получат грамоты, медали и наградные сертификаты магазина товаров для настольного тенниса TT-MAXIMUM.COM которые могут быть обменяны на любые товары из магазина согласно номиналу сертификатов. В категориях выше чем «0-50» награждение грамотами, медалями и денежными призами.
Призовой фонд составит (% от суммы взносов): 25% в категориях «0-15» и «0-20» 30% в категории «0-25» и «0-30» 35% в категории «0-35» и «0-40» 40% в категории «0-45» и «0-50» 45% в категориях выше чем «0-50» Категория женского турнира для награждения определяется по самому высокому рейтингу.
Награждаемые места: 5 мест при участии более 40 чел. (%: 38-28-18-10-6); 4 места при участии 31-40 чел. (%: 40-30-20-10); 3 места при участии 15-30 чел. (%: 50-30-20); 2 места при участии 8-14 чел. (%: 60-40); 1 место при участии до 7 чел. Также возможны дополнительные призы от спонсоров, которыми награждаются еще несколько мест помимо указанных.
ПРИЛОЖЕНИЕ: Полезная информация для удобства гостей из других городов:
Напоминаем сайт Метеорита: http://meteorit-tt.com – на нем опубликованы заявки на турниры, карта как найти зал внутри ТРЦ и прочая полезная информация.
Также смотрите информационный раздел сайта http://tt-maximum.com/ - это основное место для первоочередной публикации любой новой информации/вопросов/комментариев по турнирам, так как этот сайт по ряду причин удобнее для таких вещей.
Проезд к Метеориту по Харькову от вокзалов
Для желающих воспользоваться такси, рекомендуем службу Мотор. Звоните: 050 325 40 54, 067 675 40 54, 093 335 40 54. Тариф сообщает диспетчер, машину подают быстро.
От ж/д вокзала на общественном транспорте проще всего добраться трамваем №6. Выйдя из вокзала, попросите показать, где находится круг трамвая и пройдите к нему, это 2 минуты. Садитесь на трамвай №6 и следуйте до остановки «Сабурова дача», выйдя на ней вы увидите через дорогу ТРЦ Французский Бульвар, в котором находится Метеорит. Ехать около 20 минут. Поездка на такси будет стоить около 45 грн.
От автовокзала такси будет в пределах 35 грн, автобусы №11 и 211, но к ним несколько минут идти, попросите прохожих показать, где остановка. Ехать до ТРЦ Французский Бульвар. Либо две остановки на метро, сначала до Спортивной, там перейти на другую линию, и еще одну остановку до Площади Восстания, от метро 2-3 остановки на трамвае или автобусе.
Проживание
Рекомендуем обращаться вот сюда: http://kharkovapartment.com/ +38 (067) 676-06-76 Киевстар +38 (093) 405-66-00 Лайф +38 (066) 757 72 47 МТС У них есть миниотель прямо рядом с Метеоритом, и квартиры поблизости. Звоните бронируйте заранее!
Питание
Метеорит находится в крупном торгово-развлекательном центре (ТРЦ). Так что к услугам участников турнира прямо на месте есть множество разнообразных кафе. От Макдональдса и других заведений быстрого питания до ресторанов с изысканной кухней. В них вы сможете и позавтракать перед играми, и пообедать днем, и поужинать после игр. Время работы всех кафе в ТРЦ – с 10 до 22.00.
Мы рекомендуем в качестве кафе для «удобно, вкусно и недорого поесть» - кафе на втором этаже внутри супермаркета Сильпо. В нем разнообразное и недорогое меню уже готовой еды, так что не надо тратить время на ожидание заказа. Также в супермакете Сильпо вы найдете все необходимое. Также непосредственно в зале организована точка питания, где продаются разнообразные напитки и еда.
Как провести время, свободное от игр
В ТРЦ есть современный кинотеатр с несколькими залами, в том числе IMAX. А также роллердром и ледяной каток, веревочный парк и батутный комплекс, боулинг. А также множество магазинов. Полный список предлагаемых в ТРЦ услуг и магазинов смотрите на сайте ТРЦ http://mall.com.ua/
Кроме предлагаемых развлечений в самом ТРЦ, рекомендуем в свободное время посетить парк Горького, его недавно полностью перестроили, и он теперь очень красивый, возможно, лучший из городских парков в стране. Находится в 20 минутах ходьбы (или 3-4 остановки на транспорте) от м. Университет. Сайт парка http://centralpark.kh.ua/, парк прекрасен!























